-

全志科技:一季度净利润同比预增73.16%-103.72%
全志科技披露一季度业绩预告。公司预计2025年第一季度实现归属于上市公司股东的净利润8,500万元-...
火必交易所 2025-04-28 62
-

全志科技:一季度净利润同比增长86.51%
【全志科技:一季度净利润同比增长86.51%】财联社4月22日电,全志科技(300458.SZ)发布...
火必网 2025-04-28 42
-

每周股票复盘:全志科技(300458)归属净利润同比增长625.82%
截至2025年2月28日收盘,全志科技(300458)报收于54.49元,较上周的54.5元下跌0....
火必交易所 2025-04-28 46
-

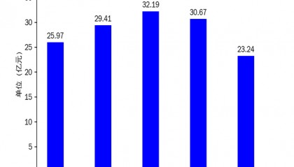
中材节能2024年净利润暴跌94.7%,国际化布局难掩业绩颓势
4月1日,中材节能发布2024年年报,公司全年实现营业收入23.24亿元,同比下降24.21%;归属...
火必交易所 2025-04-23 40
-

中材国际披露年报:持续创新,净利润同比增长2.31%
来源:董事会杂志 2024年,公司坚持稳中求进工作总基调,锚定“一利稳定增长、五率持续优化”目标,克...
火必网 2025-04-23 54
-

每周股票复盘:中材节能(603126)2024年净利润下降94.7%
截至2025年3月28日收盘,中材节能(603126)报收于6.54元,较上周的7.04元下跌7.1...
火必网 2025-04-23 46
-

中材国际年报摘要:2024年归母净利润同比增长2.31%
文|冯秀语 编|李亦辉 3月25日,中材国际(600970)发布2024年年度报告,报告期实现营业收...
火必交易所 2025-04-23 59
-

每周股票复盘:海 利 得(002206)海利得预计2025年Q1扣非后净利润1.35亿至1.65亿
截至2025年4月18日收盘,海 利 得(002206)报收于4.37元,较上周的4.3元上涨1.6...
火必网 2025-04-21 67
-

每周股票复盘:海 利 得(002206)海利得2024年净利润同比增长17.58%
截至2025年4月11日收盘,海 利 得(002206)报收于4.3元,较上周的4.83元下跌10....
火必网 2025-04-21 36
-

扬农化工营收超百亿 净利润同比下滑23%
数据显示,扬农化工(600486)4月3日开盘价为52.52元,盘中最高触及53.08元,最低下探至...
火必交易所 2025-04-18 39






